城市功能区是城市研究与规划的基础单元,其空间结构与功能布局的明确对于提升土地利用效率、优化资源配置及促进可持续发展具有重要意义。传统功能区划分方法受限于数据来源与空间尺度,存在主观性强、成本高、更新滞后等问题。随着遥感与社会感知数据的发展,多源数据融合为功能区识别提供了新的技术途径。但现有研究多集中于平原城市,对地形复杂的山地城市功能空间识别及其分布特征探讨仍显不足。同时,基于功能区的城市热环境影响因素分析仍面临非线性作用与空间异质性揭示不足的挑战。
(1)如何在复杂山地地形条件下,实现城市功能区的高精度识别?
(2)在准确识别功能区的基础上,如何揭示基于功能区的城市热环境影响因素的非线性作用及其空间异质性?
基于此,工程中心李月臣教授团队联合重庆师范大学和重庆市规划设计研究院相关团队以重庆这一典型山地城市为研究区深入开展山地城市内部功能区识别精度提升和城市内部功能区的生态效益评价工作,并取得积极进展。相关研究成果分别发表于中国科学院SSCI一区TOP期刊《Habitat International》(影响因子7)和SSCI三区期刊《Land》(影响因子3.2)。
文章导读
一、基于多源数据与投票集成方法的山地城市功能区识别——以中国重庆为例

与平原城市相比,山地城市因地形起伏显著、空间格局复杂,其功能区呈现分散化、混合化及非规则化特征,使得传统识别方法在精度与适应性方面面临挑战。针对这一问题,本研究构建了一种基于多源数据融合与多数投票集成的山地城市功能区识别框架。该框架整合遥感影像、POI数据、建筑信息及OSM道路数据等多源信息,完成城市内部功能区基本单元的划分与分类特征提取。通过机器学习方法,本研究系统探索了城市功能空间划分策略及优化途径,并综合集成各单一模型的优势,实现了高精度的功能区识别。结果显示,重庆中心城区单一主导功能区的识别精度较高,一、二级分类总体精度分别达到85.74%和82.04%,Kappa系数均超过0.79。与EULUC数据相比,该方法的分类精度提升约6%,表明多源数据融合与投票集成策略能够显著增强复杂山地城市功能区识别的准确性与适用性,为山地城市空间规划与功能布局优化提供了可靠的技术支撑。

Fig. 2. Workflow of urban functional zoning.

Fig. 3. Schematic of the majority voting ensemble.


此工作以“Identification of Urban Functional Zones in Mountainous Cities Based on Multi-Source Data and Voting Ensemble Methods: A Case Study of Chongqing, China”为题,于2025年11月6日在线发表于Habitat International。工程中心硕士生曾美玲为第一作者,李月臣教授为通讯作者,重庆市规划设计研究院的何波正高级工程师等多名相关研究人员为合作作者。
论文链接:https://doi.org/10.1016/j.habitatint.2025.103648
二、基于城市功能区的城市形态对季节性热环境影响作用研究

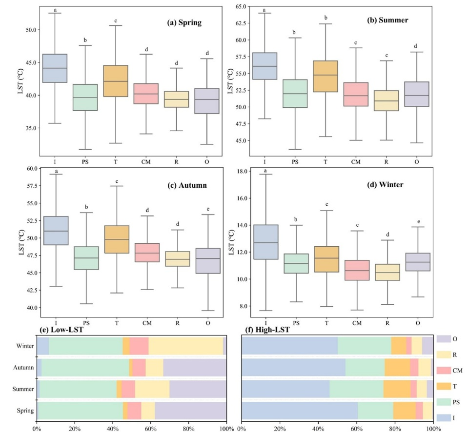
现有研究多侧重于定量分析城市形态因子对地表温度的影响作用,而对其影响的空间异质性探讨不足的局限性。本研究基于识别得到的城市功能区数据,结合 Landsat 8/9 C2L2 地表温度产品,系统分析了重庆中心城区季节性地表热环境的空间分布特征,并探讨不同功能区类型的温度差异。通过二维、三维及人类活动视角构建城市形态因子,并采用可解释随机森林(RF)与多尺度地理加权回归(MGWR)模型,从数量特征与空间分布两个维度量化各因子对季节性地表温度的贡献,揭示其空间异质性。结果显示,重庆中心城区地表热环境呈现显著的“山水格局”与季节分异特征,工业区温度持续偏高,公共服务用地相对较低;生物物理参数作用最为显著,NDVI 与 MNDWI 对地表温度均具有协同降温效应;建筑密度、生物物理特征及人口密度在局部空间上差异明显。研究为深入理解城市热环境调控机制及精细化规划提供了理论依据。

Figure. 2. The flowchart of this study

Figure. 5 (a)-(d) Boxplots of LST across UFZs demonstrate statistically significant differences in LST at P < 0.05, as denoted by different letters (a–e); (e)–(f) Bar charts showing the percentage of Low-LST and High-LST areas across different functional zone types.

Fig. 9 Spatial distribution of the estimated coefficients of local variables for LST.
此工作以“Investigating the Influence of Urban Morphology on Seasonal Thermal Environment Based on Urban Functional Zones”为题,于2025年10月24日在线发表于Land。工程中心硕士生曾美玲为第一作者,李月臣教授为通讯作者,重庆师范大学刘春霞教授和重庆市规划设计研究院的何波正高级工程师等多名相关研究人员为合作作者。
论文链接: https://doi.org/10.3390/land14112117